Direnç Nedir?
Devrelerde geçen akımı sınırlayan devre elemanıdır. Bu sayede hassas devre elemanlarına fazla akım gitmesini önler. Gerilimleri dengeli bölebilir, yük (alıcı) görevi yapabilir, ısı enerjisi üretebilir. Bazı direnç türleri ise pasif sensör görevi görerek dış fiziksel etmenleri kontrol edebilir. Direnç, devrelerin olmazsa olmaz bir elemanı gibidir ve çoğu devrede görevlerinden dolayı yer almaktadır. Dirincin birimi ohm, ohm sembolu ise omega (Ω)’dır. Dirençlerin kaç ohm olduğu üzerindeki renkli bantlar yardımıyla anlaşılmaktadır. Daha fazla bilgi için Direnç Renklerinin Okunması hakkındaki makalemize gözatabilirsiniz.
Ohm Kanunu

İki uçlu bir devre elemanının direnci, üzerindeki gerilimin (V), üzerinden geçen akıma (I) bölünmesiyle hesaplanır.
V=I.R – R=V/I – I=V/R
1000 Ohm = 1 Kiloohm
1000 Kiloohm = 1 Megaohm
Dirençlerin Seri Bağlanması
Dirençler seri bağlanırsa toplam direnç, serideki tüm direnç değerlerinin toplamıdır. Aynı şekilde gerilim de tüm değerlerin toplamıdır. Ancak Akım eşittir.
R = R1+ R2 + R3
V = V1 + V2 + V3
I = I1 = I2 = I3
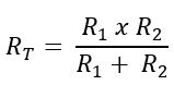
Dirençlerin Paralel Bağlanması
![]()
Dirençlerin uçları aynı noktaya bağlandığından dolayı her bir direncin uçları arasındaki potansiyel farklar birbirine eşit olacaktır.
Gerilim ise eşit olacaktır: V = V1 = V2
Kollardan geçen akım şiddetleri toplamı ana koldan geçen akım şiddetine eşittir: I = I1 + I2
Dirençler hem seri hem paralel olarak bağlanırsa öncelikle kendi aralarında hesaplanır, sonrasında ise seri bağlanmışlar gibi hesap yapılır.
Direnç Türleri
- Sabit direnç: Sabit direnç değerleri gerektiren devrelerde kullanılır. Bu tür dirençlerin değer hassasiyetleri yüksektir. (Karbon direnç, Telli Direnç, Film Direnç)
- Ayarlı direnç: Değişken direnç değerlerinin gerektiği, hassasiyetin o kadar gerekli olmadığı devrelerde kullanılır. (Trino, Potansiyometre, Reosta
- Foto direnç: Işık etkisi ile değeri değişen direnç çeşidi.
- Termistör: Isı etkisi ile değeri değişen direnç çeşidi. (NTC, PTC )
Direnç Malzemeleri ve Özellikleri
Direncin yapımı için seçilen malzemelerin seçilme nedenleri: Kolay imalat, düşük maliyet, sıçaklığa uyum, kararlılık, termokupul geriliminin küçük olması ve de Oksitlenme, rutubet, korozyon gibi dış etmenlerden etkilenmemesidir.
Kullanılan alaşımlar: Manganin, Nikel-krom alaşımı, Altın-krom alaşımı, Konstantan
Rezistans Nedir?
Rezistans, elektrik enerjisini ısı enerjisine dönüştüren direnç telleridir. Rezistans oldukça yüksek ısılara karşı direnç gösterebilir. Rezistanslar, nikel, demir, krom ve alüminyum alaşımlarından oluşmaktadır. Rezistans, en çok ısınma teknolojilerinde kullanılır. Ayrıca; ağır sanayi, tekstil, elektrikli ev aletleri, termostatlar gibi alanlarda da kullanılmaktadır.
